本文由第三方AI基于17173文章http://ff14.17173.com/content/2014-10-16/20141016102321193.shtml提炼总结而成,可能与原文真实意图存在偏差。不代表网站观点和立场。推荐点击链接阅读原文细致比对和校验。
最终幻想14治疗属性点 耐力精神差异实测
新闻导语
最终幻想14治疗属性点 耐力精神差异实测
针对这几天讨论的很凶的奶妈属性+精神还是+耐力的问题,测试了一下。

最终幻想14治疗属性点 耐力精神差异实测
在这种状态下 精神为 422 信念是 251
![]()
最终幻想14治疗属性点 耐力精神差异实测
十次医术以及小精灵的加血量 平均分别为 861.9 和 582.5
由于小精灵的施法频率是人的2/3 所以实际平均治疗量是1250.2

最终幻想14治疗属性点 耐力精神差异实测
去掉两件装备 精神为391 下降31点 信念不变 251
![]()
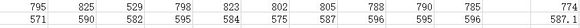
最终幻想14治疗属性点 耐力精神差异实测
十次医术以及小精灵的加血量 平均分别为774 和 587.1
同理实际平均治疗量是 1165.4
下降了31点精神后治疗量下降了6.8% 下降了84.8
实际上如果是30点精神的话会更少,30点耐力大概差400-500点血量为总血量的12%
这个实验现在还不是非常准确,只提供一个思路。30点精神的影响到底是大还是小可以自行判断。
相关阅读:最终幻想14,最终幻想14,治疗属性,精神
- (2025-11-24) 最终幻想14 八人本:月读歼灭战 Lv.70
- (2025-11-24) 最终幻想14 八人本:白虎镇魂战 Lv.70
- (2025-11-24) 最终幻想14 八人本:神龙歼灭战 Lv.70
- (2025-11-21) 卓异的悲寂深想战:学者全员0恢复药轴
- (2025-11-21) 卓异的悲寂深想战 火人3+2 TLB解法(二)
精彩截图欣赏
专区更新推荐
- 11-24最终幻想14 八人本:月读歼灭战 Lv.70
- 11-24最终幻想14 八人本:白虎镇魂战 Lv.70
- 11-24最终幻想14 八人本:神龙歼灭战 Lv.70
- 11-21卓异的悲寂深想战:学者全员0恢复药轴
- 11-21卓异的悲寂深想战 火人3+2 TLB解法(二…
- 11-21卓异的悲寂深想战 火人3+2 TLB解法(一…
- 11-20FF14:护锁刃龙上位狩猎战 画家超详解
- 11-20FF14:卓异的悲切深想战 黑魔超详解作…
- 11-20FF14 7.3版本:骑士PVP攻略 (二)
- 11-19FF14 7.3版本:骑士PVP攻略 (一)
近期热点推荐
- 05-21《最终幻想14》绘灵法师的入门级新手攻…
- 05-21《最终幻想14》7.0 新职业蝰蛇剑士的基…
- 05-21《最终幻想14》如何自助配装
- 05-21《最终幻想14》单刷巴哈攻略
- 05-21《最终幻想14》萌新装备基础知识入门
- 05-21《最终幻想14》7.0-7.05战职装备提升
- 05-21《最终幻想14》装备指南
- 05-21ff14前期主线经验的利用,提升主线任务…
- 05-21《最终幻想14》战士职业指南
- 05-21《最终幻想14》7.0骑 的基础向指南








